Vize ve Final Soruları / Selçuk Üniversitesi / Makina Elemanları-2
GERİ DÖN
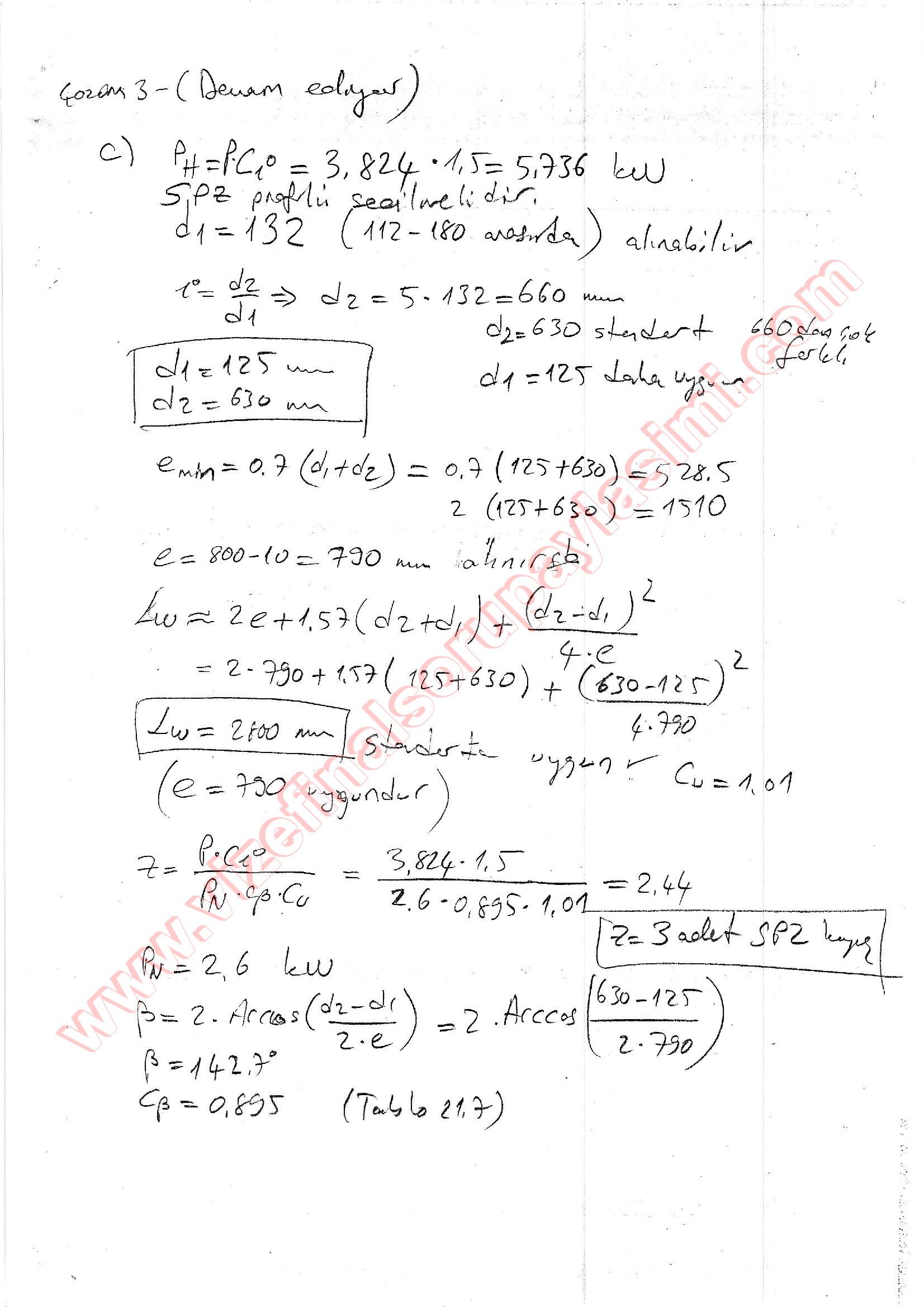
Makina Elemanları-2 Bütünleme Soruları Ve Cevapları





Facebook İle Giriş Yap
Google+ İle Giriş Yap
