Vize ve Final Soruları / Sakarya Üniversitesi / Elektrik Makinaları-2
GERİ DÖN
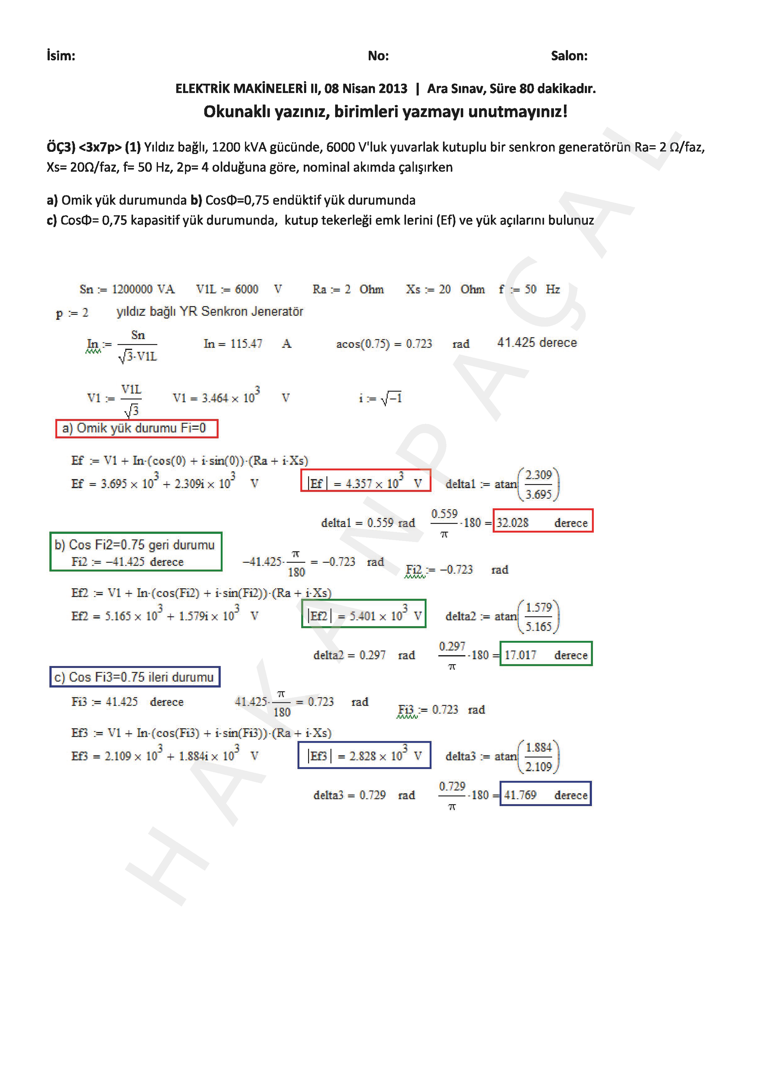
Elektrik Makinaları-2 Vize Soruları Ve Cevapları - 08.04.2013





Facebook İle Giriş Yap
Google+ İle Giriş Yap
