İnstagram Pinterest Twitter VFSP - YouTube Facebook
Bu Sayfayı Arkadaşlarınla Paylaşmak İster misin ?
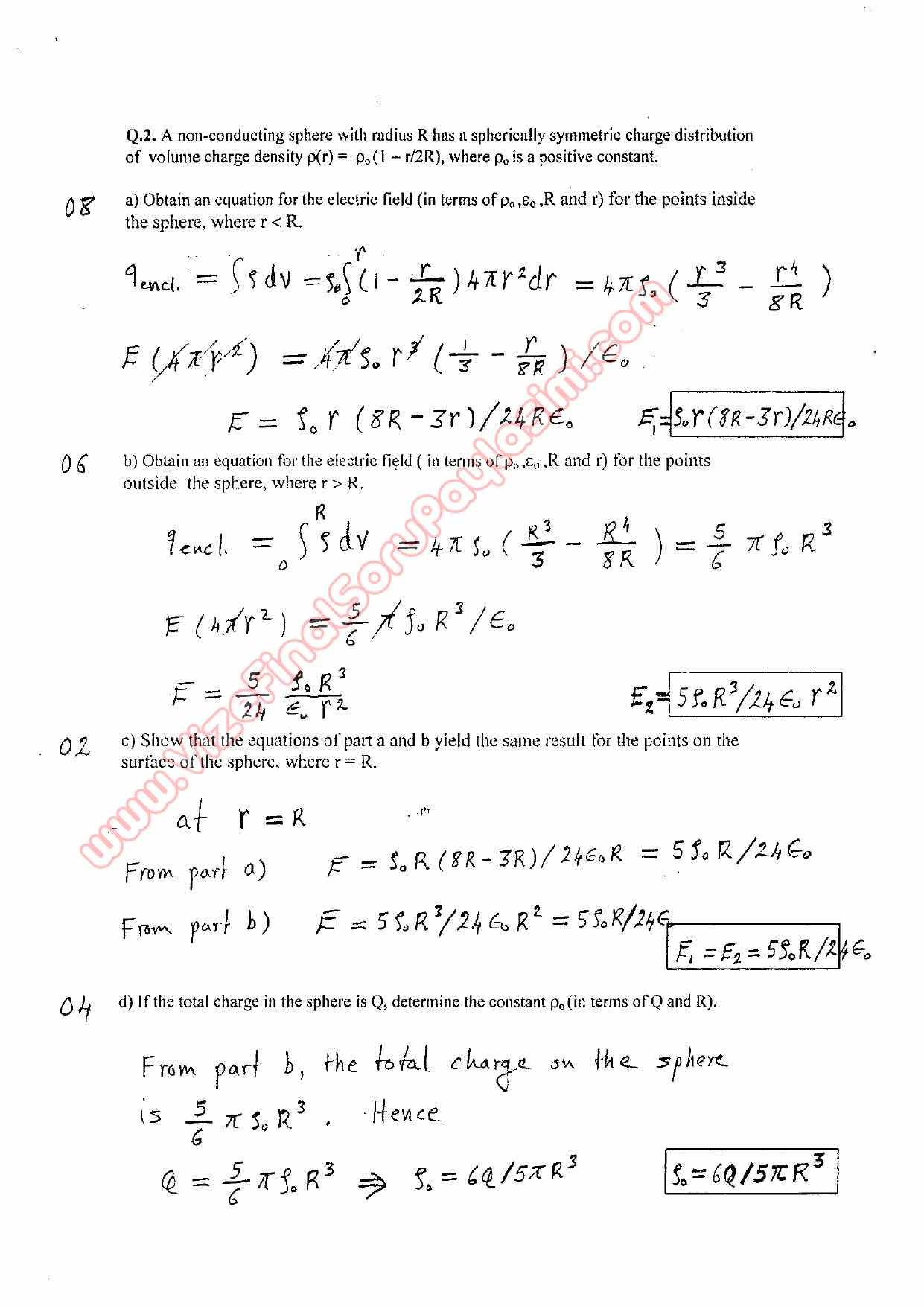
Physics-2 fizik-2 first-midterm odtü
GERİ DÖN




İsim:*
E-Mail:
Güvenlik: *