-
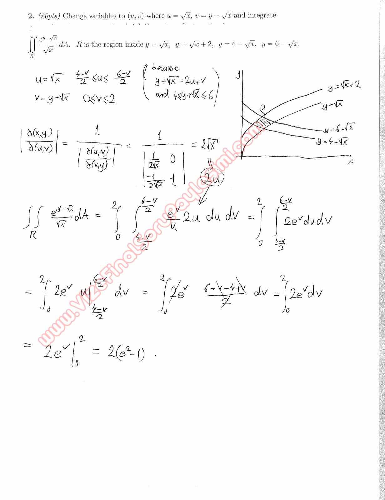
Calculus For Functions Of Several Variables Second Midterm Exam Questions And Solutions Spring 2015 9-11-2015, 00:53
-
Calculus For Functions Of Several Variables First Midterm Exam Questions And Solutions Spring 2015 9-11-2015, 00:51
-
Calculus For Functions Of Several Variables Second Midterm Exam Questions And Solutions Spring 2014 9-11-2015, 00:36
-
Calculus For Functions Of Several Variables First Midterm Exam Questions And Solutions Spring 2014 9-11-2015, 00:31
-
Calculus For Functions Of Several Variables Third Short Exam Questions And Solutions Spring 2013 9-11-2015, 00:27
-
Calculus For Functions Of Several Variables First Midterm Exam Questions And Solutions Spring 2013 9-11-2015, 00:19
-
Calculus For Functions Of Several Variables Second Midterm Exam Questions And Solutions Spring 2012 9-11-2015, 00:14
-
Calculus For Functions Of Several Variables First Midterm Exam Questions And Solutions Spring 2012 9-11-2015, 00:11





Facebook İle Giriş Yap
Google+ İle Giriş Yap
