-
Matematik -1 4. Quiz Soru ve Çözümleri - EEM 17-12-2015, 16:21
-
Matematik -1 3. Quiz Soru ve Çözümleri - EEM 17-12-2015, 16:21
-
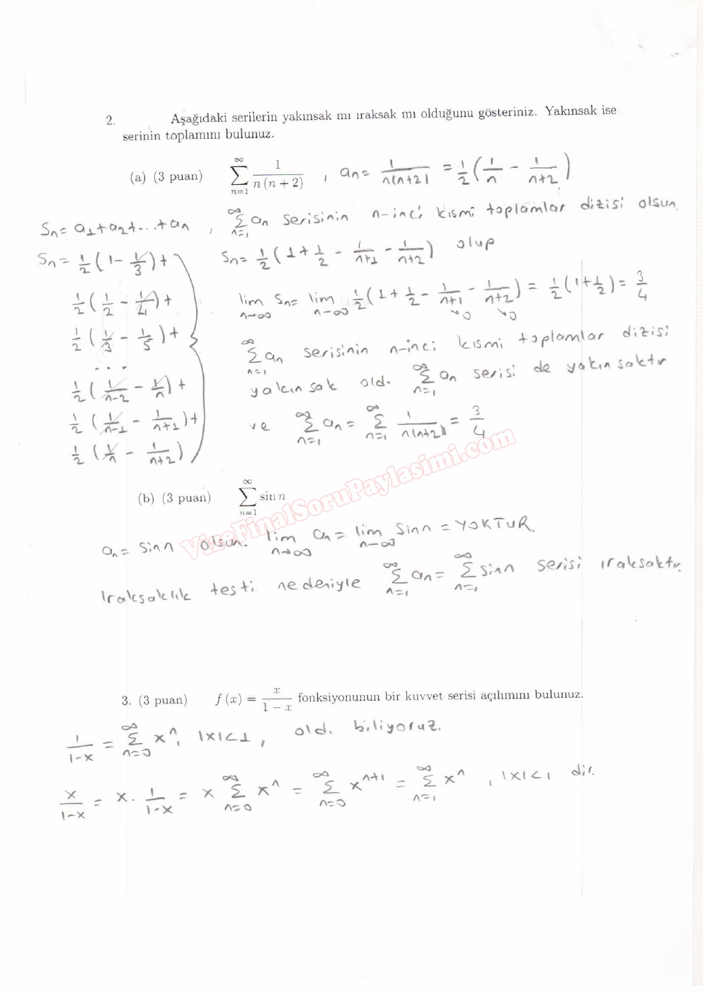
Matematik -1 2. Quiz Soru ve Çözümleri - EEM 17-12-2015, 16:20
-
Matematik -1 1. Quiz Soru ve Çözümleri - EEM 17-12-2015, 16:19
-
Ayrık Matematik Dersi 4. Quiz Soru ve Çözümleri 17-12-2015, 15:45
-
Ayrık Matematik Dersi 3. Quiz Soru ve Çözümleri 17-12-2015, 15:43
-
Ayrık Matematik Dersi 2. Quiz Soru ve Çözümleri 17-12-2015, 15:40
-
Ayrık Matematik Dersi 1. Quiz Soru ve Çözümleri 15-12-2015, 21:05