-
İktisadi Matematik Final Soruları 9-01-2016, 15:24
-
Fizik -1 Final Çalışma Soruları ve Çözümleri 7-01-2016, 11:15
-
Matematik -1 Final Soruları - Teknoloji Fakültesi 6-01-2016, 17:55
-
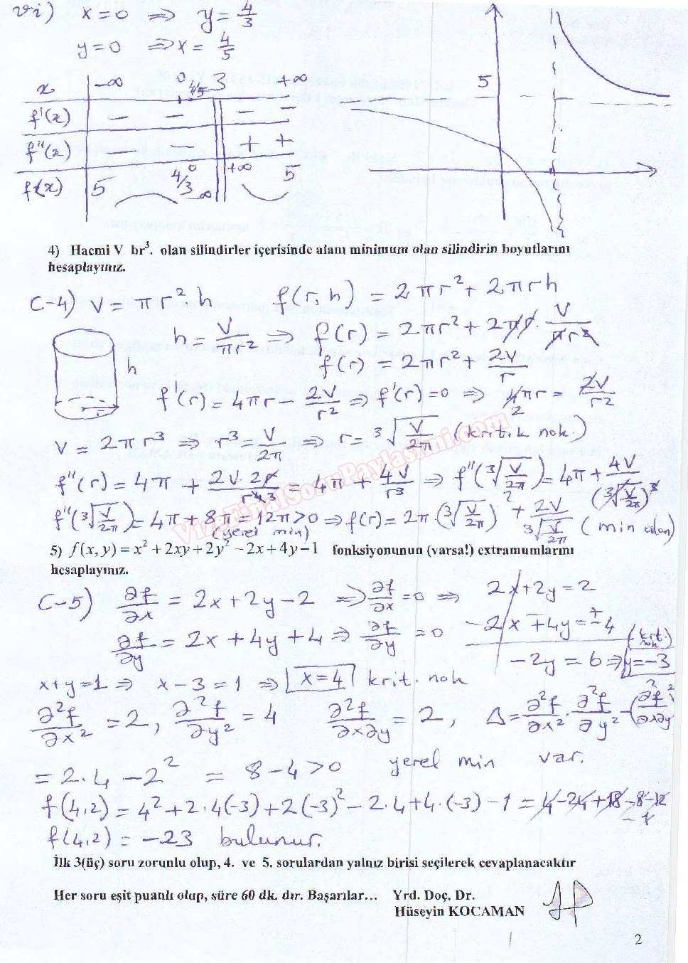
Matematik-1 Final Soruları ve Çözümleri- Müh. Fakültesi 4-01-2016, 20:39
-
Matematik -2 Final Soruları Çözümleri 30-06-2015, 23:34
-
Ayrık Matematik Final Soruları ve Çözümleri - 2014 1-05-2015, 14:17
-
Matematik-1 Final Soruları ve Çözümleri - 2015 5-01-2015, 20:26
-
Soyut Matematik Final Soruları ve Çözümleri 29-09-2014, 23:28