-
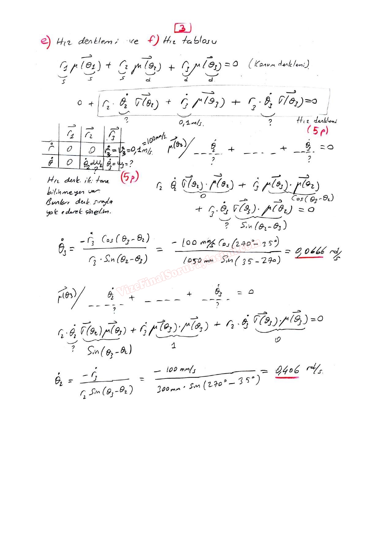
Mekanizma Tekniği Vize Soruları Ve Cevapları 20-08-2016, 14:07
-
Mekanizma Tekniği Final Soruları Ve Cevapları 20-08-2016, 14:06
-
Mekanizma Tekniği Dersi Ders Notları - 2016 7-05-2016, 01:32
-
Mikrodalga Tekniği Bütünleme Soruları 2015 27-10-2015, 00:46
-
Mikrodalga Tekniği Bütünleme Soruları 2014 27-10-2015, 00:44
-
Mekanizma Tekniği Dersi Vize Soruları ve Cevapları 30-05-2015, 19:41
-
Soğutma Tekniği Vize Soruları Ve Cevapları 5-04-2015, 00:09
-
Transport Tekniği Sınav Soruları Ve Cevapları 4-04-2015, 00:32