İnstagram Pinterest Twitter VFSP - YouTube Facebook
Bu Sayfayı Arkadaşlarınla Paylaşmak İster misin ?
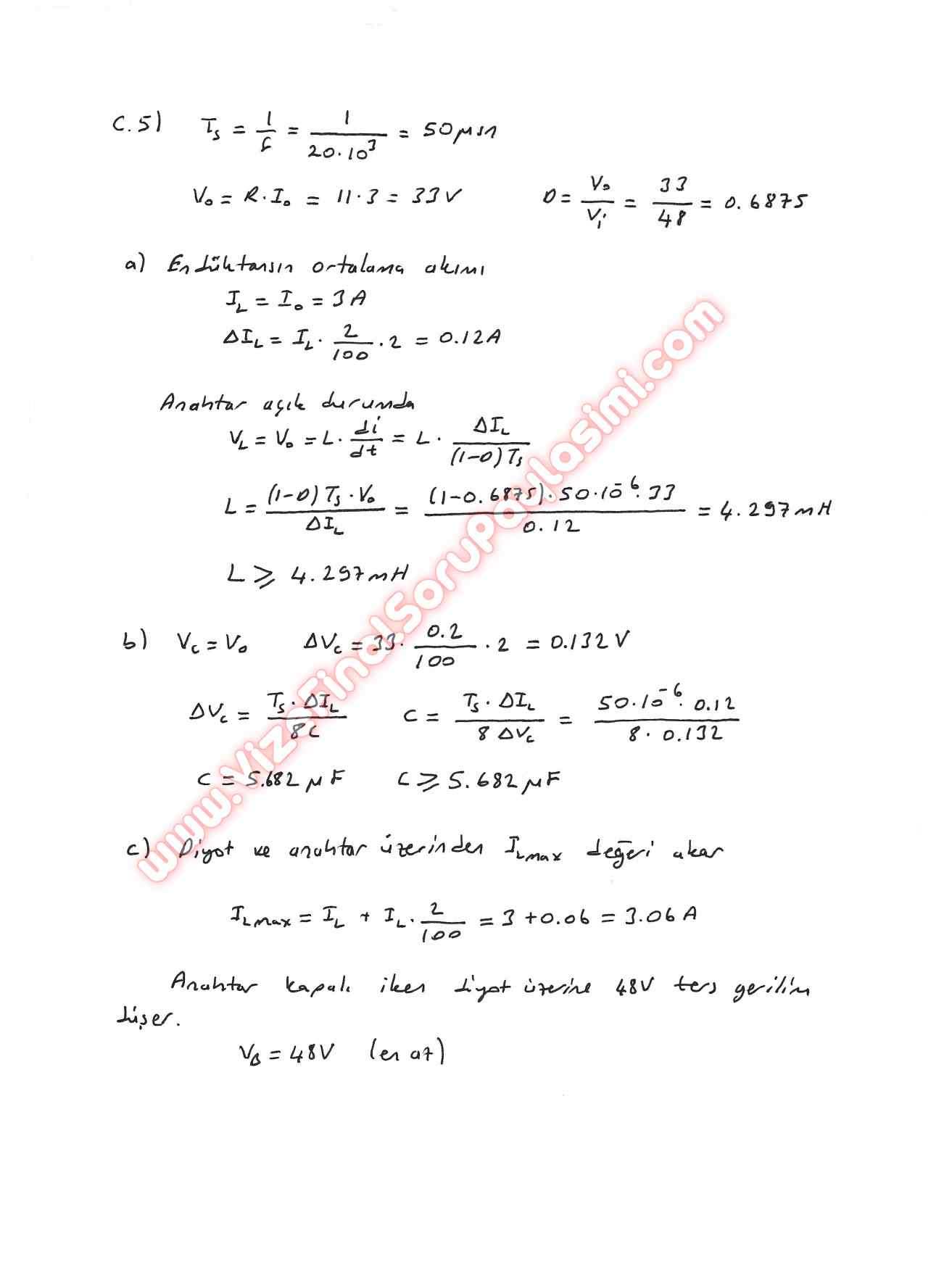
Guc Elektronigi final sorulari 2012
GERİ DÖN




İsim:*
E-Mail:
Güvenlik: *